

วิทยาศาสตร์สายนุ่มเหนียว เจาะลึกความลับของขนมเข่ง ของไหว้มงคลรับตรุษจีน

ภาพขนมเข่ง สร้างโดย Gemini
ซินเหนียนไคว่เล่อ. 新年快乐. แฟนเพจ IPST Thailand ทุกท่าน
ตรุษจีนปี พ.ศ. 2569 นี้ ตรงกับวันอังคารที่ 17 กุมภาพันธ์ ขณะนี้หลายบ้านคงกำลังเตรียมรายการของสำหรับวันไหว้และขาประจำที่ขาดไม่ได้เลยก็คือ “ขนมเข่ง” ก้อนกลมๆ ที่เคยมีตำนานว่าเป็น “ขนมปิดปากเทพเจ้า” เพราะความนุ่มเหนียวชนิดที่ว่าถ้าเทพเซียนกินเข้าไปแล้ว จะหนึบเหนียวเคี้ยวเพลินจนลืมรายงานความผิดของเราให้เง็กเซียนฮ่องเต้ฟังเลยทีเดียว 😀 แต่เบื้องหลังความเหนียวของขนมเข่งที่ทำได้ง่ายๆจากแป้งข้าวเหนียว น้ำตาล และน้ำ จนได้ขนมที่เคี้ยวจนเมื่อยกรามนี้ มีเรื่องราววิทยาศาสตร์สุดเจ๋งซ่อนอยู่ มาดูกันว่าทำไมขนมเข่งถึงได้เหนียวนุ่มหนึบขนาดนี้!

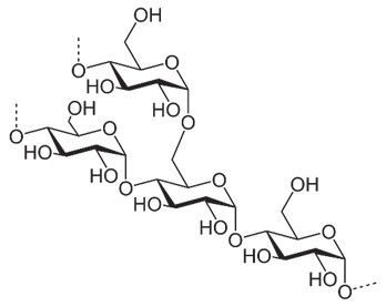
โครงสร้างอะไมโลเพกติน ที่มา: https://en.wikipedia.org/wiki/Amylopectin#/media/File:Amylopektin_Sessel.svg
กลับมาที่ข้าวเหนียวกันก่อน เคยสงสัยไหมว่าทำไมข้าวเหนียวถึงไม่เหมือนข้าวเจ้า? คำตอบอยู่ในระดับพันธุกรรมเลยทีเดียว นักวิทยาศาสตร์พบว่ายีน Waxy (Wx) gene ในข้าวเหนียวเกิดกลายพันธุ์ทำให้ไม่สร้างเอนไซม์สำหรับผลิต อะไมโลส (Amylose) ที่ช่วยให้ข้าวแข็งเป็นเม็ดสวย หรือสร้างเอนไซม์น้อยทำให้ผลิตอะไมโลสได้น้อย ซึ่งผลที่เกิดก็คือข้าวเหนียวมีอะไมโลเพกติน (Amylopectin) สูงปรี๊ดมากกว่า 90% ซึ่งโมเลกุลของอะไมโลเพกตินนี้มีรูปร่างเหมือนกิ่งก้านต้นไม้ที่แตกแขนง เมื่อเอาแป้งข้าวเหนียวที่ผสมกับน้ำตาลและน้ำแล้วไปนึ่ง จะเกิดกระบวนการเจลาติไนเซชัน (Gelatinization) โดยแป้งดูดซับน้ำและพองตัวเมื่อได้รับความร้อน และกิ่งก้านของอะไมโลเพกตินก็จะไปพันกันจนกลายเป็นโครงสร้างตาข่ายที่ยืดหยุ่นและเหนียวหนึบสู้ฟันของเรานั่นเอง เมื่อเรากินขนมเข่งที่นึ่งใหม่ๆ ร้อนๆ ขนมเข่งจะนุ่มมมม เหนียวและยืดได้ แต่ถ้าเย็นลงแล้วหรือเก็บไว้นานสักหน่อย จะเกิดกระบวนการ starch retrogradation ที่โมเลกุลของอะไมโลเพกตินมาจัดเรียงตัวใหม่เป็นโครงสร้างที่เป็นระเบียบมากขึ้น ทำให้ขนมแห้งแข็งมากขึ้น
หลายๆบ้านชอบเอาขนมเข่งที่เริ่มแข็งมาหั่นชิ้นแล้วชุบไข่ทอด หรือบางคนก็เอาขนมเข่งไปใส่ในหม้ออบลมร้อนได้ขนมเข่งที่คล้ายๆโมจิ ที่มีกลิ่นรสที่ต่างจากขนมเข่งชุบไข่ทอด J ซึ่งขนมเข่งที่นำเข้าหม้ออบลมร้อน จะเกิดปฏิกิริยาการเกิดคาราเมล (caramelization) และปฏิกิริยาเมลลาร์ด (Maillard Reaction) เพราะเมื่อน้ำตาลในขนมเข่งเจอความร้อน จะทำปฏิกิริยากันจนสร้างกลิ่นรสหอมๆ ที่ชวนน้ำลายสอหลังอบเสร็จใหม่ๆ แต่ต้องระวังว่าอย่าถ้าทิ้งไว้จนไหม้เกรียมเกินไป เพราะนอกจากขนมจะขมปี๋ ยังอาจจะได้ของแถมเป็นสารอะคริลาไมด์ที่ไม่ดีต่อสุขภาพติดมาด้วย ☹
แม้ขนมเข่งจะมีรสชาติอร่อยและชื่อเป็นมงคลว่า “เหนียนเกา (年糕)” ที่ออกเสียงพ้องกับคำว่า “เหนียนเกา” (年高) ที่มีความหมายดีงามว่าสูงส่งขึ้นทุกปีนั้น แต่ขนมเข่งก็ทำมาจากน้ำตาลและแป้ง แถมข้าวเหนียวมีค่า GI (Glycemic Index) สูง กินปุ๊บน้ำตาลในเลือดพุ่งปรี๊ดปั๊บ เพราะเป็นกลุ่มคาร์โบไฮเดรตที่ถูกย่อยและเปลี่ยนเป็นน้ำตาลเข้าสู่กระแสเลือดได้อย่างรวดเร็ว ทำให้หลังกินแล้วก็ยังหิวบ่อยอยู่ ดังนั้นก็ต้องกินขนมเข่งในปริมาณที่พอดี อย่ากินมากเกินไปจนมีสภาวะอ้วนซึ่งจะเสี่ยงต่อโรคเรื้อรังที่อาจจะตามมาได้
ตรุษจีนปีนี้ ในขณะที่กำลังกินขนมเข่ง ลองทบทวนถึงยีน Waxy gene ที่ส่งผลต่อการสร้างอะไมโลสและอะไมโลเพกตินและโครงสร้างตาข่ายโมเลกุลของอะไมโลเพกตินในขนมเข่งที่เรากำลังเคี้ยว จะเห็นว่าวิทยาศาสตร์อยู่รอบตัวเรานี่เองค่ะ
ตรุษจีนปี 2569 นี้ ขอให้แฟนเพจ IPST Thailand ทุกท่านมีความรักที่ “เหนียวแน่น” เหมือนโครงข่ายอะไมโลเพกติน และหน้าที่การงาน “สูงส่ง” ก้าวหน้าเหมือนชื่อขนมเข่งนะคะ!
- เรียนรู้เพิ่มเติมเกี่ยวกับคาร์โบไฮเดรต ผ่านวีดิทัศน์ สารประกอบคาร์บอนในสิ่งมีชีวิต คาร์โบไฮเดรต
จากหนังสือเรียนชีววิทยา ม.4 เล่ม 1 ลิงก์ https://proj14.ipst.ac.th/m4-6-biology/m4-bio-book1/bio-m4b1-006/
- เล่นเกมสนุก EatD ที่ส่งเสริมการเรียนรู้เรื่องสารอาหารและวางแผนการรับประทานอาหารให้เหมาะสมลิงก์ https://apps.apple.com/th/app/eatd/id1482597746
- อ่านเพิ่มเติมเกี่ยวกับปฏิกิริยาเมลลาร์ด ลิงก์ https://www.facebook.com/share/16jDshQ3dU/
อ้างอิง:
- BBC Science Focus – What is the Maillard Reaction? https://www.sciencefocus.com/science/what-is-the-maillard-reaction เข้าถึงข้อมูลวันที่ 2 กุมภาพันธ์ 2569
- ScienceABC – What Makes Sticky Rice Stick? https://www.scienceabc.com/nature/what-makes-sticky-rice-stick.html เข้าถึงข้อมูลวันที่ 2 กุมภาพันธ์ 2569
- Wikipedia – Glutinous Rice https://en.wikipedia.org/wiki/Glutinous_rice เข้าถึงข้อมูลวันที่ 2 กุมภาพันธ์ 2569
- เคมีฟิสิกส์ของสิ่งทอ อาหาร และของรอบตัว. 7 กุมภาพันธ์ 2562 บางทีขนมเข่งธรรมดาหลังไหว้เจ้าที่แสนน่าเบื่อในแต่ละเทศกาลนั้นก็เป็นสิ่งที่กำจัดได้ยากจริงๆ … https://www.facebook.com/share/p/1BwsL1HpYh/ เข้าถึงข้อมูลวันที่ 2 กุมภาพันธ์ 2569
- ผศ.ดร.พิมพ์เพ็ญ พรเฉลิมพงศ์ และ ศ.เกียรติคุณ ดร.นิธิยา รัตนาปนนท์. Food Network Solution. Caramelization/ ปฏิกริยาการเกิดคาราเมล. https://www.foodnetworksolution.com/wiki/word/0223/caramelization-%E0%B8%9B%E0%B8%8F%E0%B8%B4%E0%B8%81%E0%B8%B4%E0%B8%A3%E0%B8%B4%E0%B8%A2%E0%B8%B2%E0%B8%81%E0%B8%B2%E0%B8%A3%E0%B9%80%E0%B8%81%E0%B8%B4%E0%B8%94%E0%B8%84%E0%B8%B2%E0%B8%A3%E0%B8%B2%E0%B9%80%E0%B8%A1%E0%B8%A5 เข้าถึงข้อมูลวันที่ 3 กุมภาพันธ์ 2569
- ผศ.ดร.พิมพ์เพ็ญ พรเฉลิมพงศ์ และ ศ.เกียรติคุณ ดร.นิธิยา รัตนาปนนท์. Food Network Solution. Gelatinization/การเจลาติไนซ์. https://www.foodnetworksolution.com/wiki/word/0350/gelatinization-%E0%B8%81%E0%B8%B2%E0%B8%A3%E0%B9%80%E0%B8%88%E0%B8%A5%E0%B8%B2%E0%B8%95%E0%B8%B4%E0%B9%84%E0%B8%99%E0%B8%8B%E0%B9%8C เข้าถึงข้อมูลวันที่ 3 กุมภาพันธ์ 2569
- ผศ.ดร.พิมพ์เพ็ญ พรเฉลิมพงศ์ และ ศ.เกียรติคุณ ดร.นิธิยา รัตนาปนนท์. Food Network Solution. Retrogradation/รีโทรเกรเดชัน. https://www.foodnetworksolution.com/wiki/word/0591/retrogradation-%E0%B8%A3%E0%B8%B5%E0%B9%82%E0%B8%97%E0%B8%A3%E0%B9%80%E0%B8%81%E0%B8%A3%E0%B9%80%E0%B8%94%E0%B8%8A%E0%B8%B1%E0%B8%99 เข้าถึงข้อมูลวันที่ 3 กุมภาพันธ์ 2569
- พรรณพร กะตะจิตต์. คลังความรู้ SciMath. 27 กันยายน 2561. เคมีอธิบายอาหารไหม้มีสีดำ. https://www.scimath.org/article-chemistry/item/8474-2018-07-18-04-06-45 เข้าถึงข้อมูลวันที่ 2 กุมภาพันธ์ 2569
- ดร.สุนัดดา โยมญาติ. สาขาชีววิทยา สสวท. แป้งอะไรใช้ทำขนม. https://biology.ipst.ac.th/?p=3266 เข้าถึงข้อมูลวันที่ 3 กุมภาพันธ์ 2569
- วารสารศิลปวัฒนธรรม. 10 กุมภาพันธ์ 2567. ขนมเข่ง คนจีนเมืองไทยกินวันในตรุษจีน https://www.silpa-mag.com/culture/article_99782 เข้าถึงข้อมูลวันที่ 2 กุมภาพันธ์ 2569
